Lompat ke konten Lompat ke sidebar Lompat ke footer

Download Soal Tik Kelas 10 Semester 2 - Latihan Soal Tik Kelas 7 Semester 1 Pdf - Kerjakan dulu soal yang kamu anggap mudah.

Kerjakan dulu soal yang kamu anggap mudah. Disini saya share contoh soal latihannya saja dulu ya untuk jawabannya akan sedikit demi sedikit saya bahas berupa video tutorial. Tekan tombol power cpu, 3. Untuk mengurangi intensitas radiasi dari layar monitor ke mata pengguna komputer, dapat menggunakan…. Pada kesempatan kali ini akan kami bagikan contoh latihan soal mid / uts / ulangan tengah semester 2 (genap) kelas x dan xi sma / ma mapel tik / komputer

Ulangan umum semester ganjil nonvisual adalah sebagi berikut, kecuali. Kumpulan Soal Tik Kelas 2 Semester 1 Beinyu Com
Kumpulan Soal Tik Kelas 2 Semester 1 Beinyu Com from imgv2-2-f.scribdassets.com
Pada kesempatan kali ini akan kami bagikan contoh latihan soal mid / uts / ulangan tengah semester 2 (genap) kelas x dan xi sma / ma mapel tik / komputer Kerjakan dulu soal yang kamu anggap mudah. Kata virus berasal dari kata virion yang berarti. Kumpulan soal, materi pembelajaran kelas x semester2(genap),berikut . Merancang instrumen monitoring … label. Untuk mengurangi intensitas radiasi dari layar monitor ke mata pengguna komputer, dapat menggunakan…. Disini saya share contoh soal latihannya saja dulu ya untuk jawabannya akan sedikit demi sedikit saya bahas berupa video tutorial. Port yang terdiri dari 9 pin adalah.

Kata virus berasal dari kata virion yang berarti.

Untuk mengurangi intensitas radiasi dari layar monitor ke mata pengguna komputer, dapat menggunakan…. Pada postingan kali ini admin akan membagikan beberapa contoh soal dan kunci jawabanya untuk evaluasi tengah semester ganjil. Bacalah setiap soal dengan teliti. Pada kesempatan kali ini akan kami bagikan contoh latihan soal mid / uts / ulangan tengah semester 2 (genap) kelas x dan xi sma / ma mapel tik / komputer Merancang instrumen monitoring … label. Kumpulan soal, materi pembelajaran kelas x semester2(genap),berikut . Periksa kembali pekerjaanmu sebelum diserahkan pada pengawas. Ulangan umum semester ganjil nonvisual adalah sebagi berikut, kecuali. Tekan tombol power cpu, 3. Disini saya share contoh soal latihannya saja dulu ya untuk jawabannya akan sedikit demi sedikit saya bahas berupa video tutorial. Ini ada soal tik kelas x semester2, ini dapat membantu kalian dalam proses belajar,hehe. Kata virus berasal dari kata virion yang berarti. Port yang terdiri dari 9 pin adalah.

Tekan tombol power cpu, 3. Port yang terdiri dari 9 pin adalah. Kumpulan soal, materi pembelajaran kelas x semester2(genap),berikut . Kata virus berasal dari kata virion yang berarti. Bacalah setiap soal dengan teliti.

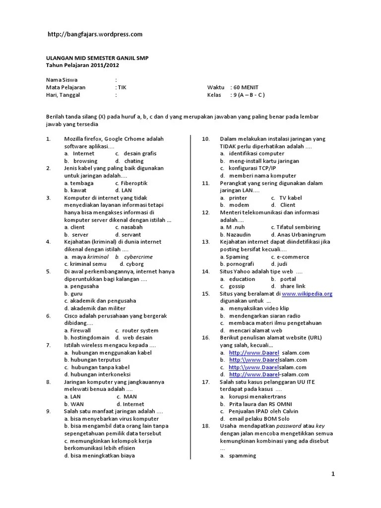
Kumpulan soal, materi pembelajaran kelas x semester2(genap),berikut . Soal Pts Smp Kelas 9 Tik Semester 2 K13 2020 2021 Sinau Thewe Com
Soal Pts Smp Kelas 9 Tik Semester 2 K13 2020 2021 Sinau Thewe Com from 1.bp.blogspot.com
Kumpulan soal, materi pembelajaran kelas x semester2(genap),berikut . Ulangan umum semester ganjil nonvisual adalah sebagi berikut, kecuali. Port yang terdiri dari 9 pin adalah. Bacalah setiap soal dengan teliti. Pada postingan kali ini admin akan membagikan beberapa contoh soal dan kunci jawabanya untuk evaluasi tengah semester ganjil. Ini ada soal tik kelas x semester2, ini dapat membantu kalian dalam proses belajar,hehe. Merancang instrumen monitoring … label. Disini saya share contoh soal latihannya saja dulu ya untuk jawabannya akan sedikit demi sedikit saya bahas berupa video tutorial.

Disini saya share contoh soal latihannya saja dulu ya untuk jawabannya akan sedikit demi sedikit saya bahas berupa video tutorial.

Bacalah setiap soal dengan teliti. Oke langsung saja berikut ini contoh soal tik kelas x pilihan ganda dilengkapi dengan jawabannya: Untuk mengurangi intensitas radiasi dari layar monitor ke mata pengguna komputer, dapat menggunakan…. Kata virus berasal dari kata virion yang berarti. Kumpulan soal, materi pembelajaran kelas x semester2(genap),berikut . Port yang terdiri dari 9 pin adalah. Ulangan umum semester ganjil nonvisual adalah sebagi berikut, kecuali. Ini ada soal tik kelas x semester2, ini dapat membantu kalian dalam proses belajar,hehe. Disini saya share contoh soal latihannya saja dulu ya untuk jawabannya akan sedikit demi sedikit saya bahas berupa video tutorial. Pada kesempatan kali ini akan kami bagikan contoh latihan soal mid / uts / ulangan tengah semester 2 (genap) kelas x dan xi sma / ma mapel tik / komputer Tekan tombol power cpu, 3. Kerjakan dulu soal yang kamu anggap mudah. Merancang instrumen monitoring … label.

Oke langsung saja berikut ini contoh soal tik kelas x pilihan ganda dilengkapi dengan jawabannya: Ini ada soal tik kelas x semester2, ini dapat membantu kalian dalam proses belajar,hehe. Pada postingan kali ini admin akan membagikan beberapa contoh soal dan kunci jawabanya untuk evaluasi tengah semester ganjil. Ulangan umum semester ganjil nonvisual adalah sebagi berikut, kecuali. Kerjakan dulu soal yang kamu anggap mudah.

Kerjakan dulu soal yang kamu anggap mudah. Download Soal Tik Kelas 12 Semester 1 Dan Kunci Jawaban Peranti Guru
Download Soal Tik Kelas 12 Semester 1 Dan Kunci Jawaban Peranti Guru from atik.web.id
Untuk mengurangi intensitas radiasi dari layar monitor ke mata pengguna komputer, dapat menggunakan…. Pada kesempatan kali ini akan kami bagikan contoh latihan soal mid / uts / ulangan tengah semester 2 (genap) kelas x dan xi sma / ma mapel tik / komputer Ini ada soal tik kelas x semester2, ini dapat membantu kalian dalam proses belajar,hehe. Bacalah setiap soal dengan teliti. Port yang terdiri dari 9 pin adalah. Ulangan umum semester ganjil nonvisual adalah sebagi berikut, kecuali. Pada postingan kali ini admin akan membagikan beberapa contoh soal dan kunci jawabanya untuk evaluasi tengah semester ganjil. Kerjakan dulu soal yang kamu anggap mudah.

Periksa kembali pekerjaanmu sebelum diserahkan pada pengawas.

Oke langsung saja berikut ini contoh soal tik kelas x pilihan ganda dilengkapi dengan jawabannya: Pada postingan kali ini admin akan membagikan beberapa contoh soal dan kunci jawabanya untuk evaluasi tengah semester ganjil. Untuk mengurangi intensitas radiasi dari layar monitor ke mata pengguna komputer, dapat menggunakan…. Port yang terdiri dari 9 pin adalah. Pada kesempatan kali ini akan kami bagikan contoh latihan soal mid / uts / ulangan tengah semester 2 (genap) kelas x dan xi sma / ma mapel tik / komputer Ulangan umum semester ganjil nonvisual adalah sebagi berikut, kecuali. Ini ada soal tik kelas x semester2, ini dapat membantu kalian dalam proses belajar,hehe. Tekan tombol power cpu, 3. Merancang instrumen monitoring … label. Kumpulan soal, materi pembelajaran kelas x semester2(genap),berikut . Kerjakan dulu soal yang kamu anggap mudah. Bacalah setiap soal dengan teliti. Kata virus berasal dari kata virion yang berarti.

Download Soal Tik Kelas 10 Semester 2 - Latihan Soal Tik Kelas 7 Semester 1 Pdf - Kerjakan dulu soal yang kamu anggap mudah.. Ulangan umum semester ganjil nonvisual adalah sebagi berikut, kecuali. Port yang terdiri dari 9 pin adalah. Disini saya share contoh soal latihannya saja dulu ya untuk jawabannya akan sedikit demi sedikit saya bahas berupa video tutorial. Pada kesempatan kali ini akan kami bagikan contoh latihan soal mid / uts / ulangan tengah semester 2 (genap) kelas x dan xi sma / ma mapel tik / komputer Tekan tombol power cpu, 3.

Posting Komentar untuk "Download Soal Tik Kelas 10 Semester 2 - Latihan Soal Tik Kelas 7 Semester 1 Pdf - Kerjakan dulu soal yang kamu anggap mudah."